我们最早接触光学可能是通过小孔成像、透镜成像和三棱镜折射等光学现象,从中总结的光学规律已帮助我们解决了大量的实际问题。例如显微镜和望远镜等光学仪器的发明,为我们对世界规律的探究提供了不可或缺的工具。这对我们从光学研究中受益来说,仅仅是个开始。十七世纪,牛顿和惠更斯对几何光学研究做出巨大贡献,但是对“光是什么”的问题仍没有一致的答案。直到1864年,麦克斯韦在法拉第等学者对电和磁的研究基础上,总结并构造了麦克斯韦方程,同时提出光是一种电磁波。之后,1888年,经过赫兹实验验证,光就是一种电磁波。从此开启了光学电磁理论的新纪元,带动了波动光学、量子光学、傅里叶光学等学科的新兴与发展。如今,激光、光伏、光通信、全息术等技术实现全民应用,均离不开人们对光的认知提升。其中,麦克斯韦对电磁学的理论研究,起到了关键作用。
詹姆斯·克拉克·麦克斯韦认为电场和磁场是随时空变化的,其提出的麦克斯韦方程组基本可以解释和预测任意的电磁现象。本文将简要介绍麦克斯韦方程组,并通过fdtd数值算法原理介绍麦克斯韦方程在光学现象预测和研究中的应用与求解。
十九世纪前后,库伦和高斯分别总结了电学和磁学中的基础物理规律。紧接着,奥斯特、安培和法拉第等学者分别发现并深入研究了电生磁和磁生电的物理现象。这一切都表明电和磁之间的关系密不可分。以上理论与实验研究为麦克斯韦提出方程组提供了坚实的理论依据。麦克斯韦使用数学方法,站在全新的角度,对电和磁的理论进行梳理论证。其提出的麦克斯韦方程组从最初的二十个方程,最终简化为我们常见的四个方程。以此纠正了场是“超距作用”的错误认知,预言了光是一种电磁波。麦克斯韦方程组描述了电场和磁场之间的关系,统一了电学和磁学,本身是一组具有高度统一性和对称性的方程。其为之后爱因斯坦等学者对光学和电磁学的研究指明方向,对整个科研界造成了深远的影响,使得电磁学研究进程实现飞跃提升。作为物理界公认的人类历史上最伟大的公式之一,麦克斯韦方程组当之无愧。麦克斯韦方程组四个方程对应不同的物理定律,我们分别来看一下每个方程的来源和意义,以及实际运用。
高斯定律
高斯定律描述电荷分布与随之产生的电场之间的关系。电场线从正电荷开始,到负电荷终止(或延伸至无穷远)。此定律表明穿过某一闭合曲面的电通量,可以理解为电场线数量,等于闭曲面内的总电荷 q。如下为高斯定律公式的积分形式和微分形式,其中电位移矢量
。根据发散定理,可以证明方程的积分形式和微分形式在数学上是等价的。



微分形式中,
为散度算符。“散”字在此为由聚集至分离的意思,而“散度”,被用于表征空间任一点矢量场发散的强弱程度。



如下为空间中矢量场求解散度后的结果示例,可以帮助理解散度的运算。


高斯磁定律
高斯磁定律描述磁场和磁偶极子原理。说明磁场的散度等于0,磁的基本实体是磁偶极子。同时该定律表明,磁单极子实际上并不存在。即没有孤立的磁荷,磁场线没有起点和终点。磁场线终会形成闭合循环或延伸至无穷远。可以理解为通过任意闭曲面的磁通量等于零。


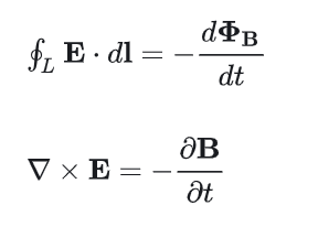
法拉第电磁感应定律
法拉第电磁感应定律描述电场和磁场之间的相互作用。此定律表明了时变磁场怎样感应出电场。为我们所熟知的是,此定律是多种发电机、电动机、电感元件及变压器的基本工作原理。



微分形式中,
为旋度算符,其运算公式如下所示。其中 i、j、k 为分别对应x、y和z轴的单位矢量。旋度表示向量场对某一点附近的微元造成的旋转程度。旋度本身为矢量,空间中某点p的旋度矢量 n 如下图所示,方向满足右手定则。


如下为空间中矢量场求解旋度后的结果示例,可以帮助理解旋度的运算。


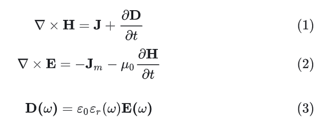
麦克斯韦-安培定律
麦克斯韦-安培定律描述电场和磁场与电流之间的关系。此定律表明磁场的生成方法包括传导电流(安培定律)和时变电场(位移电流)两种形式,如下示意图所示。由于增加位移电流这一项,麦克斯韦才得以准确地预测光本身也是一种电磁波。


如今的光学研究或者电磁计算,经常通过数值方法来近似求解麦克斯韦方程组,以预测电磁波在介质空间内的电磁行为和光学现象。这些数值方法一般基于有限差分、有限元或其他数值技术。其中较为常用的麦克斯韦方程组求解方式,是通过时域有限差分算法。
1966年,得益于计算机技术的发展,k.s.yee尝试使用计算机模拟麦克斯韦方程组,并提出一种在交错网格(yee cell)上应用有限差分法来对麦克斯韦方程组进行求解的算法。1980年,taflove在其基础上正式提出fdtd(finite-difference time-domain)。至今,fdtd已成为研究人员和工程技术人员处理各种微纳光电子问题的有力工具。
我们在麦克斯韦方程组中不难发现,无论是电场还是磁场随时间变化,都是和另一种场值在空间中的变化相关。fdtd算法就是根据这一规律,确定空间某一位置未来时刻的电场值由当前时刻的电场值和周围磁场在空间中的旋度;同样地,空间某一位置未来时刻的磁场值由当前时刻的磁场值和周围电场在空间中的旋度。电场和磁场在空间中相互交错,随固定时间间隔交替更新的过程展现出来。 所以,fdtd算法需要规定固定的空间间隔和时间间隔。其中,空间中的分布被划分为余氏网格(yee's cell),通常被展现在笛卡尔直角坐标系内。 电场与磁场纵横交错,互相嵌套,如下图所示。
对于非磁性材料,fdtd求解的麦克斯韦方程可以化为如下形式:
横向电波(te):
横向磁波(tm):

fdtd从时域麦克斯韦旋度方程出发,在一定体积内和一段时间上对连续电磁场的数据抽样,它直观地再现了在离散数值时空中电磁现象的物理过程。因此,fdtd是对电磁问题的最本质、最完备的数值模拟,具有广泛的适用性。fdtd求解的是麦克斯韦方程组的时域解,借助傅里叶变换,通过一次仿真即可得到器件在宽频中的频域响应。
根据上述方程, 在yee cell网格上进行差分离散,使用中心差分近似麦克斯韦微分方程:

fdtd中的电磁场基于yee cell网格在空间中交错分布 (下图左)。电场分布在网格棱线中心,磁场分布在网格面中心。每一个电场分量和与它相邻的并且垂直于该电场分量的4个磁场分量,满足麦克斯韦旋度方程(磁场同理)。fdtd中离散化的电磁场在时间上是交错迭代,采用蛙跳法逐步递推求解(下图右)。


因此,数值化后的电磁场三维递推方程如下:

三维的其它方向与上面公式类似,详见参考[2,3]。
更多内容请见如下链接: https://www.emsimworks.com/zh-cn/solver/fdtd
根据以上原理,我们可以自行构建仿真空间,并构造空间中的介质分布,通过计算软件模拟光学现象或设计光学器件。
y分束器是集成光子器件中一种非常重要的单元器件,它有非常广泛的应用,如波导干涉仪、调制器、光开光、光分束器等。我们可以在仿真软件中进行建模仿真, 如下图所示。根据麦克斯韦方程组及fdtd求解算法,仿真空间具有边界条件,介质分布将在网格中呈现,添加的光源可以位于空间内的任意位置。


运行仿真后,可以实现对光学现象的可视化,观测光波的传输进程,并记录仿真空间内的电磁场分布。

更多内容请见如下链接: https://www.emsimworks.com/zh-cn/case-detail/y-branch
总而言之,根据麦克斯韦方程,我们可以预测光在任意复杂介质空间内的电磁现象。在解决实际问题的科学研究中,通过fdtd算法,可以将光的电磁进行实现数据可视化。计算电磁学提供我们大量可信赖的仿真模拟数据,大大提高了人们的研发效率,加快了人类科技发展进程。
[1] yee k s .numerical solution of initial boundary value problems involving maxwell's equations in isotropic media[j].ieee transactions on antennas & propagation, 1966, 14(5):302-307.doi:10.1109/tap.1966.1138693.
[2] allen taflove, "computational electromagnetics: the finite-difference time-domain method", boston:artech house, (2005).
[3] john b. schneider, "understanding the finite-difference time-domain method", www.eecs.wsu.edu/~schneidj/ufdtd, (2010).
[4]"fdtd solver physics", www.emsimworks.com/zh-cn/solver/fdtd.
