分布式光纤应变传感技术中,光频域反射(optical frequency domain reflectometry, ofdr)技术以其高空间分辨率和大动态范围的特点,在航空航天、医疗介入器械、土木工程等领域受到广泛关注。受到可调谐激光光源相位非理想调谐的影响,ofdr中本振光和光纤沿轴某点散射光之间的干涉信号,将由单频退化、展宽到一定的频谱范围,成为制约ofdr系统的关键因素。为了定量探究激光光源的相位噪声对ofdr应变解调的影响,本文建立了应用于ofdr分布式应变传感的光源相位调谐模型,在对可调谐激光光源可能的相位非理想调谐形式进行分析的基础上,结合实测的光源相位调谐曲线,仿真探究了不同的非理想调谐形式对分布式应变解调结果的影响。研究结果同时指出,利用辅助干涉仪插值重采样的常规补偿方法能够有效补偿多项式非理想调谐形式所引起的精度退化,但无法消除光源初始相位随机抖动的影响。在此基础上,进一步探究了利用深度学习,对相位非理想调谐造成的残余影响进行二次补偿的可行性。

图1 典型的ofdr分布式应变传感系统 (a) 装置示意图;(b) 光源理想调谐时,光纤某位置对应拍信号的时频表示; (c) 光源非理想调谐时,光纤某位置对应拍信号的时频表示
研究背景
实际工况下,可调谐激光光源由于受到系统随机因素如温度、电压波动等影响,输出相位难以维持严格线性啁啾。激光光源的调谐速率并非为定值,而是与时间有关的变量。针对可调谐激光光源的相位非理想调谐的研究主要聚焦于通过光源、传感光路和算法的优化以实现对退化过程的补偿。优化光源的方案可从根本上解决非理想调谐问题,但其依赖于高性能可调谐激光光源或添加外调制系统,会大幅提高硬件成本。利用辅助干涉仪中包含的非理想调谐相位信息实现对主干涉仪等频率间隔外触发采样的硬件补偿方案,由于利用辅助干涉仪的过零点进行二次采样,受奈奎斯特采样定律的测量长度制约,限制了ofdr传感距离。在此基础上,辅助干涉仪结合算法补偿的方案弥补了辅助干涉仪过零采样造成的采样率损失,因此逐渐成为补偿方案的首选。但该方法并未考虑ofdr系统的内源性因素,如残余的可调谐激光光源相位噪声对系统性能造成的影响。
主要内容
在对相位非理想调谐引起ofdr性能退化的机理进行分析的基础上,采用实验数据特征挖掘配合仿真分析的方式对应变传感性能退化程度进行半定量分析。为了更准确地拟合相位非理想调谐对瞬时频率的影响,采集辅助干涉仪信号测量光源的瞬时频率。图2(a)所示为可调谐光源瞬时频率随时间的变化曲线,瞬时频率在整体调谐过程中呈线性趋势。但在较短时间范围内的局部放大,可以看到瞬时频率明显偏离线性变化,这会对滑动窗口的光谱分析以及最终的ofdr性能指标产生影响。利用瞬时频率偏离其理想线性调谐曲线的差值衡量相位非理想调谐造成的影响,基于最小二乘法对时变调谐速率引起的相位非理想调谐进行拟合,拟合效果如图2(b)所示。灰色曲线表示辅助干涉仪的30次测量结果,黑色曲线为相位非理想调谐的拟合曲线,用公式可表示为:
式中,α为多项式归一化因子(单位为rad),表示多项式的幅度;ηi是多项式的系数;β为高斯白噪声因子(单位为rad),表示随机相位噪声的幅度;g(0,ς2e-κ|τ|)表示零均值、广义平稳的高斯过程。

图2 实测可调谐激光器的(a) 瞬时频率时变曲线的局部放大,插图:总体曲线;(b) 相位噪声拟合曲线
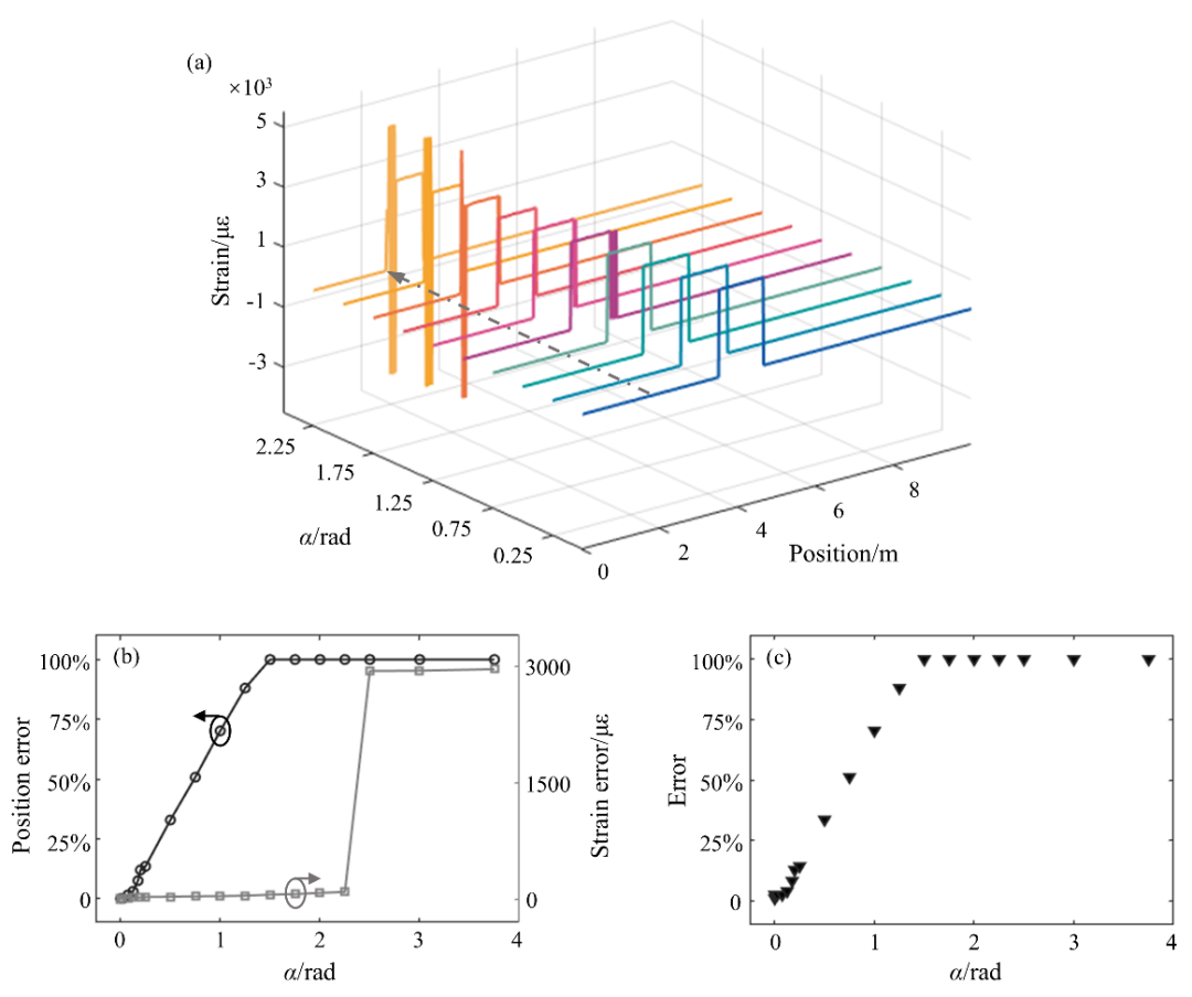
分别将多项式非理想调谐形式和随机相位抖动带入传感光纤背向瑞利散射与本振光干涉所产生的拍信号,衡量其对分布式应变测量的影响。随着拟合多项式幅度的增加,应变测量结果如图3(a)所示,首先恶化了应变定位精度,再在应变计算结果上产生偏差。具体的分布式应变测量误差如图3(b)所示,黑色曲线为定位误差,描述应变定位错误点数占应变点数的百分比。灰色曲线为应变计算误差,描述相同位置处的应变计算结果。图3(c)所示为分布式应变测量误差随非理想调谐程度的变化,体现了定位和应变计算结果两方面的双重影响。当α值超过0.125 rad后,分布式应变测量结果的误差达到4%并不断增大。图4所示探究了随机相位抖动幅度对分布式应变测量的影响。当随机相位抖动幅度大于0.3 rad后,对分布式应变测量结果的精度影响超过3%。

图3 (a) 多项式幅度大小对应变测量的影响;(b) 定位误差、应变计算误差分别随多项式幅度增加的影响; (c) 分布式应变测量误差随多项式幅度增加的变化

图4 (a) 随机相位抖动对应变测量的影响;(b) 分布式应变测量误差随随机相位抖动增加的变化
根据仿真分析,可调谐激光器相位调谐过程中的调谐速率的时变特性以及初始相位的随机抖动均会引起ofdr定位及解调性能的退化。为了对退化的性能指标进行补偿,进一步利用辅助干涉仪的相位作为参考,修正主干涉仪的时变拍信号,使得原本依照可调谐激光器输出相位非均匀采样的序列重采样为近似均匀采样。图5中红色曲线与绿色曲线之间的对比表明,采用插值算法能够有效补偿多项式非理想调谐形式所引起的展宽,但无法完全消除定位精度以及应变解调精度的下降。因此,考虑采取深度学习二次补偿的方式提升分布式应变传感的解调精度。黄色曲线为unet模型对插值曲线进行二次补偿的结果,有效消除了更多的相位噪声,使分布式应变测量结果较补偿前更接近理想值。

图5 插值算法和深度学习二次补偿的应变测量结果
为了更直观地比较非理想调谐(w/o interpt1)、插值(w/ interpt1)、深度学习二次补偿(w/o interpt1 deepl)三种方式与理想值之间的差异,在表1中增加了具体的对比数据。可以看到,深度学习二次补偿后的定位误差和应变计算误差都有明显降低,分布式应变测量结果的误差从非理想调谐的31.03%降低至2.69%,较插值补偿更接近理想值,验证了深度学习二次补偿非理想调谐的可行性。
表1 三种方法的分布式应变解调结果对比

结论
本文从可调谐激光器相位调谐过程中的调谐速率的时变特性以及初始相位的随机抖动出发,半定量地分析了其对典型ofdr应变传感系统的影响。并针对非理想调谐所引起的分布式应变解调精度退化问题,利用辅助干涉仪插值重采样的常规补偿方法有效补偿多项式非理想调谐形式所引起的展宽,但无法完全消除其对定位结果造成的影响,也无法消除光源随机相位抖动造成的精度退化。在此基础上,利用卷积神经网络模型对插值结果进行的二次补偿,使分布式应变测量结果更接近给定的理想值,表明了深度学习对残余相位非理想调谐形式进行二次补偿的可行性。
作者介绍

张傲岩
张傲岩,南方科技大学博士研究生。主要从事多芯光纤三维形状感知相关研究工作,以第一作者在sensors and actuators: b. chemical、optics express等期刊上发表学术论文5篇,申请中国发明专利2项,授权中国发明专利1项。

党竑
党竑,南方科技大学研究助理教授、副研究员。主要从事光纤散射以及高分辨光谱分析方法的研究,先后主持国家自然科学基金青年项目、中国博士后科学基金面上项目等。入选中国科学技术协会青年人才托举工程、深圳市鹏城孔雀特聘等计划;获测量控制与仪器仪表领域全国优秀博士论文提名(原百优博提名)、ieee ogc青年科学家奖、哈尔滨工业大学优秀博士学位论文奖及南方科技大学校长卓越博士后等荣誉。

沈平
沈平,南方科技大学电子与电气工程系讲席教授、副主任,光纤光缆先进制造与应用技术全国重点实验室首席科学家,广东省集成光电子智感重点实验室主任,电气与电子工程师学会光子学协会(ieee photonics society)全球主席。入选国家级高层次人才、中国光学学会(cos)、中国光学工程学会(csoe)、电气与电子工程师学会(ieee)、国际光学工程学会(spie)、美国光学学会(optica,原osa)五会会士。围绕特种光纤、激光、传感及其在生物医学光子学方面的应用发表学术论文近400篇,引用约两万次,h-index 70;入选美国斯坦福大学发布的“全球前2%顶尖科学家”的年度榜单及终身影响力榜单。
文章信息
张傲岩, 张玮轩, 程琳淇, 等. 光频域反射中光源非理想调谐误差仿真分析与补偿方法(特邀).红外与激光工程, 2025, 54(4): 20250043. doi: 10.3788/irla20250043
全文链接:http://irla.cn/article/doi/10.3788/irla20250043(阅读原文)